MATH 435- SPRING 2002- COURSE LOG

1/10   Fourier coefficients of periodic functions
            uniform convergence and L^2 convergence
            statement of convergence theorems
            complex form of Fourier series
Problems from 3-1
due 1/22: 4,9,10,11

1/15  Fourier series as best L^2 approximation
          Bessel's ineq., Parseval's equality
           Weierstrass's theorem (statement)
           Proof of L^2 convergence for cts. functions
Problems from 3-2
due 1/24: 2(a),5,12

1/17  No class (talk in Washington,DC)
           Make-up TBA

1/22  Uniformly convergent series/improper integrals
          Weierstrass M-test
           Uniform convergence of Fourier series
           Piecewise C^k functions-decay of Fourier coeffs.
Problems: 3-3 no. 4,  3-4 no. 2 (due 1/31)

1/24   Riemann-Lebesgue lemma, decay of coefficients
            Cesaro convergence: Fejer's theorem[not in text!]
             Proof of Weierstrass' theorem
Problems from 3-2: 10, 16(d) (prove the statement made,
          assuming 16(c)) (due 1/31) solutions

1/29  Pointwise convergence; Dirichlet's kernel
           Fourier transforms of L^1 functions
 Problems: 3-4: 5,6;  3-3 1,2 (due 2/12)

1/31  discussion of homework problems
           Fourier transform: derivatives, Gaussians
           Convolution theorem [not in text!]

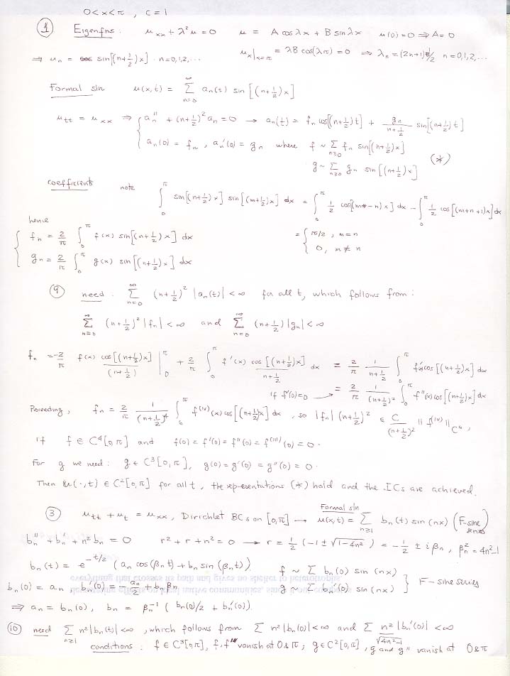
2/5   Eigenfunctions of b.v.p. on an interval
          Formal solution of 1DWE with Dirichlet BCs
           Conditions on the data for convergence
Problems: 4-2 1,3,9,10 (due 2/14) solutions
                     5-1 1(a)(b)(c); 3,4 (all due 2/19)

2/7   discussion of HW: Lipschitz and Holder
              conditions, solving ODEs w/ Fourier transforms
            1DWE with Dirichlet BCs: existence theorem

2/12   WE on an interval: uniqueness, stability
            Heat eqn on an interval, Dirichlet BCs: existence

2/14   Maximum principle for the heat equation
            Applications: uniqueness, stability
            Heat equation with source term (formal solution)
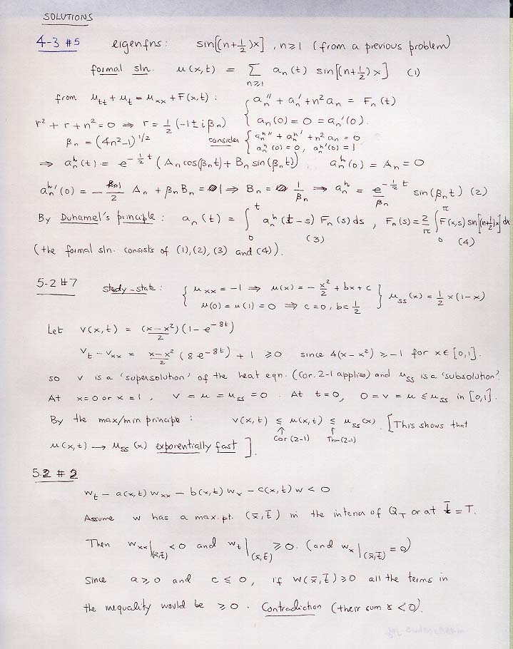
              5-2:2,7 4-3:5,6    5-3:5 solutions

2/19  Heat equation with source term-conditions for convergence
           Duhamel's principle for second order ODEs [not in text!]
            Wave equation with forcing term (Dirichlet): formal sln.

2/21   WE with forcing term: convergence
             D'Alembert's representation formula for the WE;
              solution of the WE for C^2 data
             Solution of the heat eqn for continuous data

2/26   Heat kernel in an interval (Dirichlet)
            Representation of the solution
            HW problems: non-hom heat equation

2/28    Discussion of homework problems

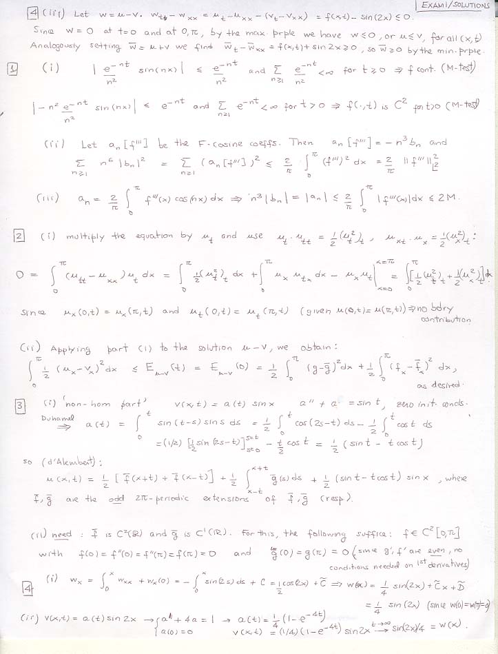
3/5       EXAM 1 (open book)problems
                                                                   solutions

3/7       Heat kernel on the real line:
             derivation using Laplace transform, properties,
              examples of solutions of the IVP

3/12    Solution of the IVP for the heat equation: proof
           of  convergence, examples. Uniqueness and
           maximum principle.

3/14   Comparison of the heat and wave equation.
            Non-homogeneous problems via Duhamel's principle
          HE and WE on the half-line (Dirichlet)

3/17- 3/22 SPRING BREAK

3/26   Laplacian in R^2,R^3 (polar coords.); Green's identities
           Uniqueness for BVPs in bounded regions
           Harmonic polynomials in R^2,R^3

3/28   Green's functions for R^2,R^3
           Representation formula in R^3; solution of Poisson's eqn.
            Poisson's kernel for a disk in R^2

4/2    Poisson kernel in R^3
           Applications: solution of Dirichlet's problem for a ball (theorem);
            mean-value property, maximum principle
 homework problems (due 4/11)-PDF

  4/4    Harnack's inequality and Liouville's theorem
            Stokes representation formula on bounded domains
            Green's functions and Poisson kernel for domains
            Poisson formula for  the upper-half space

4/9       Heat kernel in R^n; solution of Cauchy problem
             Uniqueness, non-hom h.e. in R^n
              max/min principle (bounded domains)
 homework problems (due 4/16)-PDF

4/11    Examples: heat  eqn on a 3D strip and in upper-half plane
             Eigenvalues of symmetric operators: spectral theorem, positivity
             of eigenvalues of the Laplacian

4/16   Eigenfunction expansions
            Eigenvalues of a square, solution of IVPs
            Eigenvalues of a disk, Bessel functions

4/16, afternoon: problem session (homework problems)

4/18  EXAM 3 problems
                                   solutions

4/23      Example: Neumann eigenvalues of a cylinder, heat eqn.
              Spectrum of a ball in R^3

4/23, afternoon: problem session (exams 2 and 3)

4/25      Cauchy problem for the WE in R^3: Kirchoff's formula
              Huygens'  principle
               Solution of Cauchy's problem in R^2, failure of Huygens'  prple

4/29, 5:00- problem session
                               review problems (PDF file)
                                solutions (problem 4)

5/4 Final Exam
            problems (page 1)
                   problems(page 2)
                     solutions(page 1)
                      solutions(page 2)