Solutions to Problems 21-32

Pdf files for download: (Problems 21-24): s18.pdf -- s19.pdf -- s20.pdf -- s21.pdf
Text file with solutions to problems 25-27
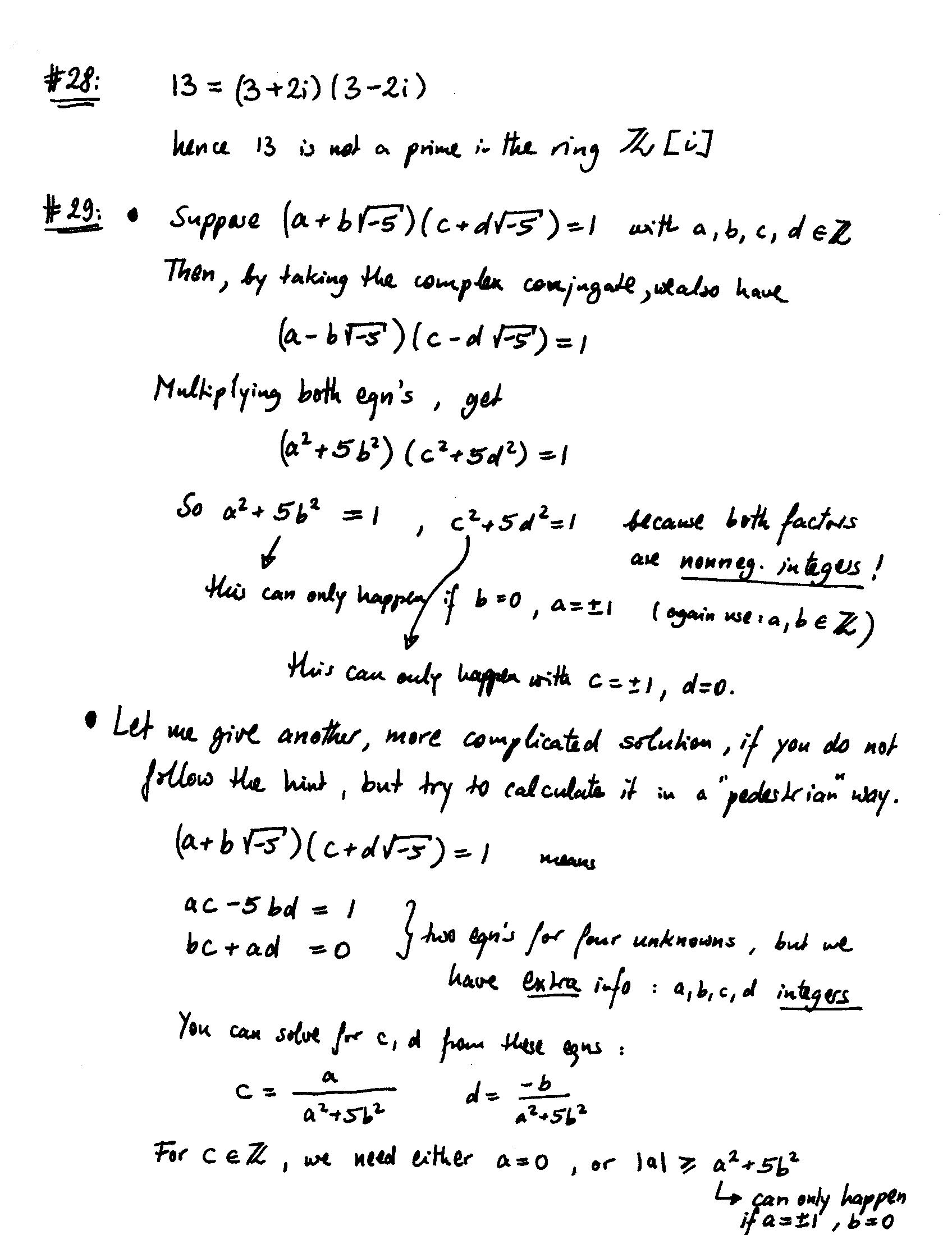
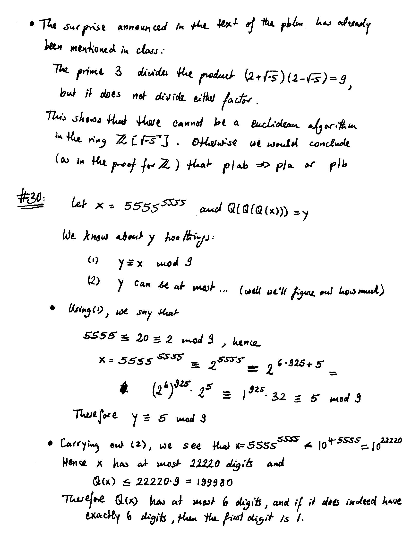
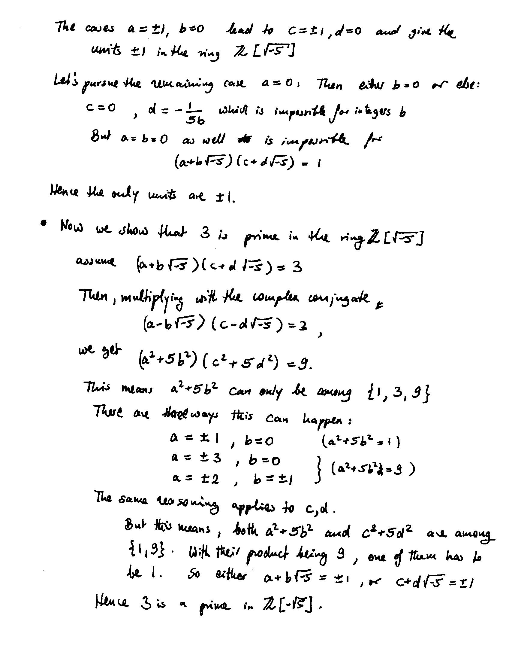
Pdf files for download (Problems 28-30): s22.pdf -- s23.pdf -- s24.pdf -- s25.pdf
pdf file with solutions to problems 31,32
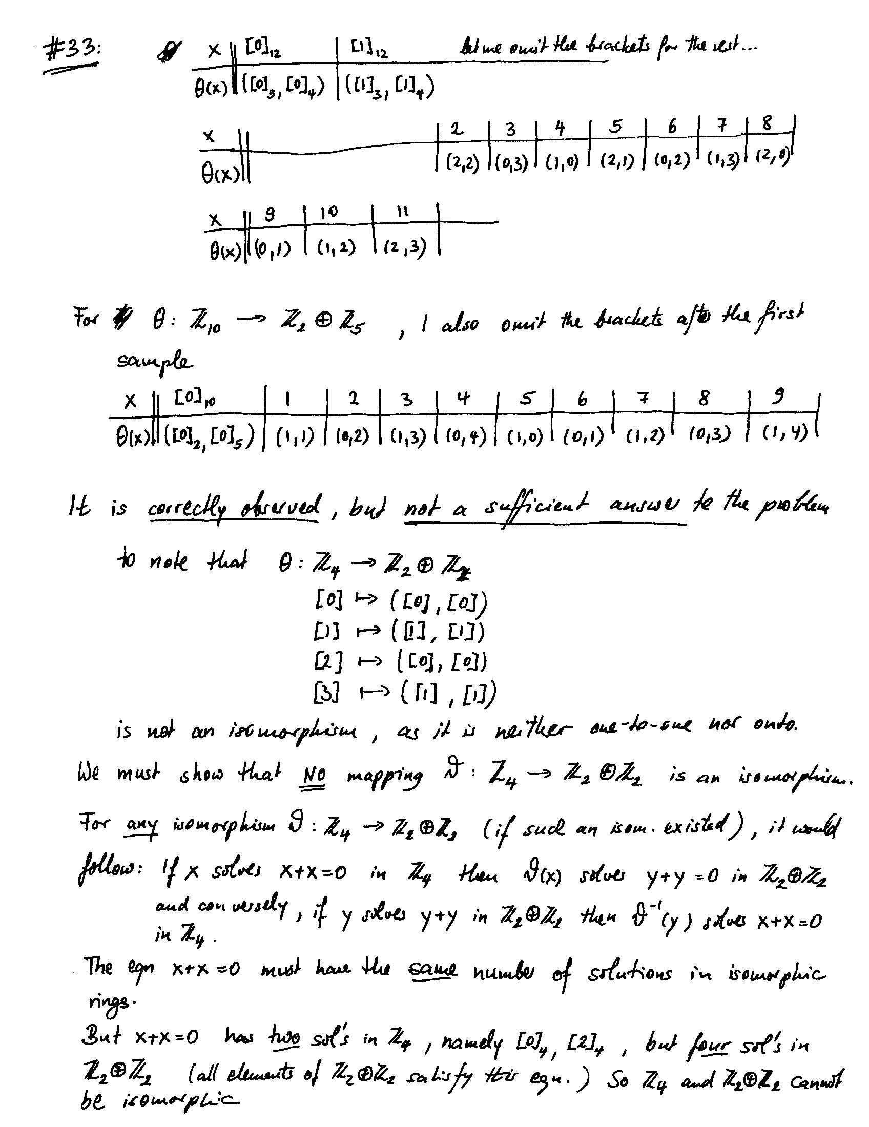
Pdf files for download (Problems 33-38): s26.pdf -- s27.pdf -- s28.pdf -- s29.pdf -- s30.pdf




Text file with solutions to problems 25-27




pdf file with solutions to problems 31,32