V. Alexiades - UTK and ORNL

Casting of HgCdTe in microgravity

Mercury-Cadmium-Telluride is an infrared detector alloy, whose electronic/optical properties are very sensitive to the composition of the crystal. Thus crystals of uniform composition need to be made, which is difficult to achieve on earth due to gravity-induced flow during casting. The simulation of an experiment in the absense of gravity (on the space station) is described below.

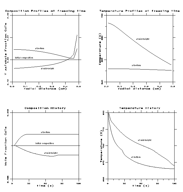
A quartz ampoule of inner radius 0.5 cm, height 9 cm, and wall thickness 0.3 cm is filled with HgCdTe of uniform composition (mole fraction CdTe) = 0.2 and initially at uniform temperature 820 C, so the alloy is in its liquid phase. At time t = 0, a constant temperature of 650 C is imposed at the outer surface of the cylinder. The axially symmetric (2-D) simulation uses 20x128 nodes in the alloy and 3x3 nodes in the quartz walls.

The figures show composition and temperature profiles and histories at the bottom and at mid-height (at half-radius).
The sharp rise of solute near the wall, seen in the upper-left plot, is known as "skin effect" and is observed in experiments.
[4 plots]


... back to Alexiades-Math.Dept page ... or to Alexiades non-official page ...