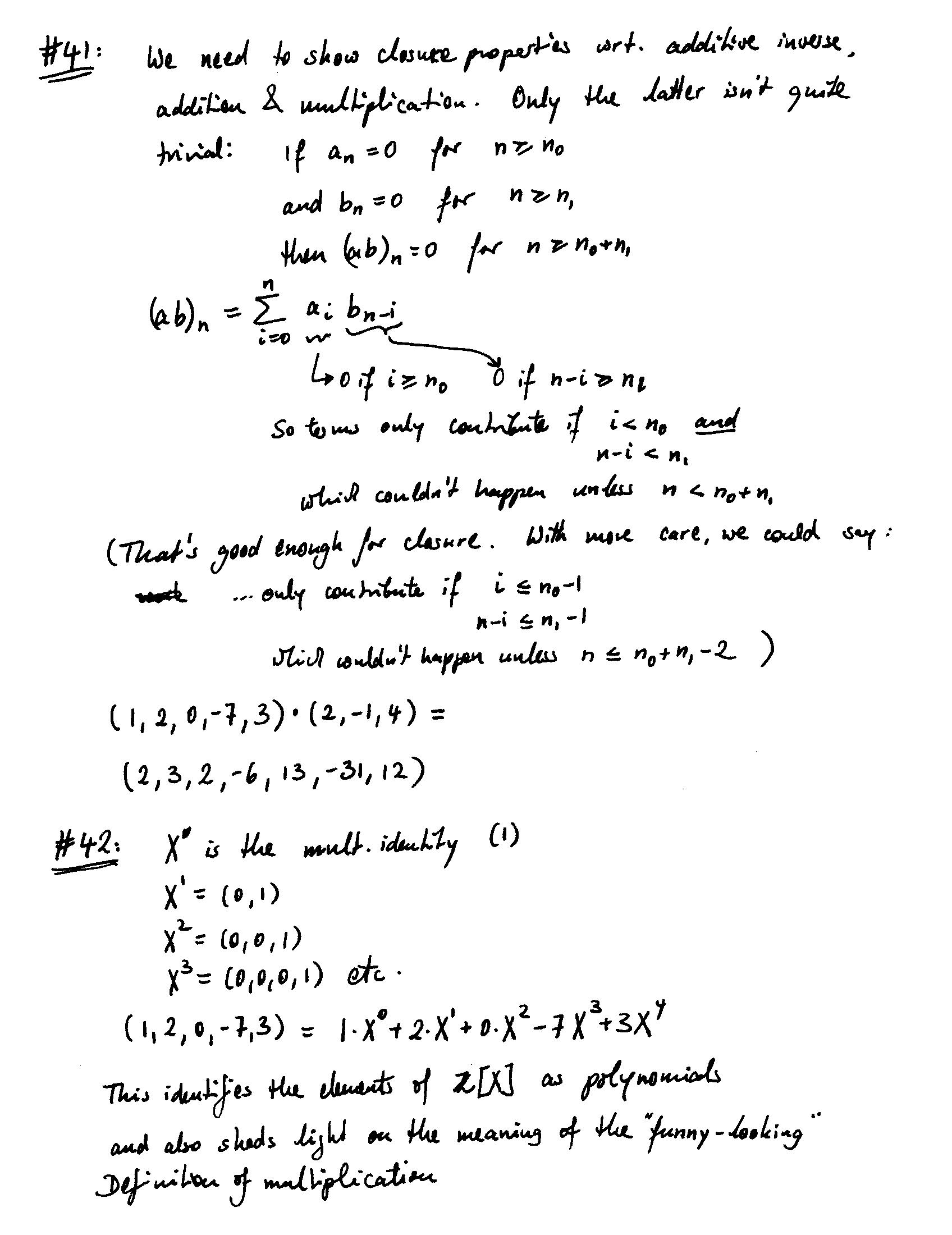
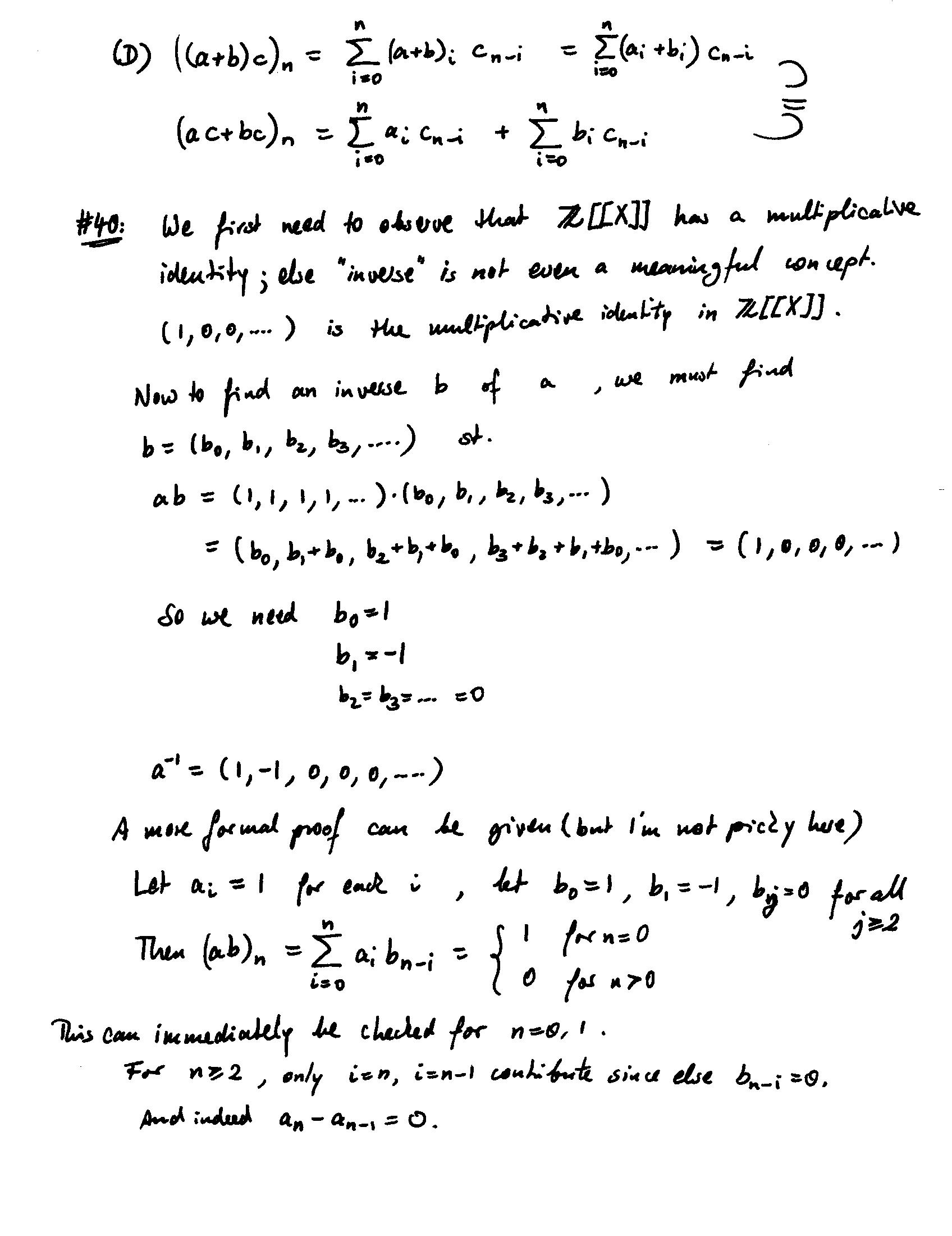
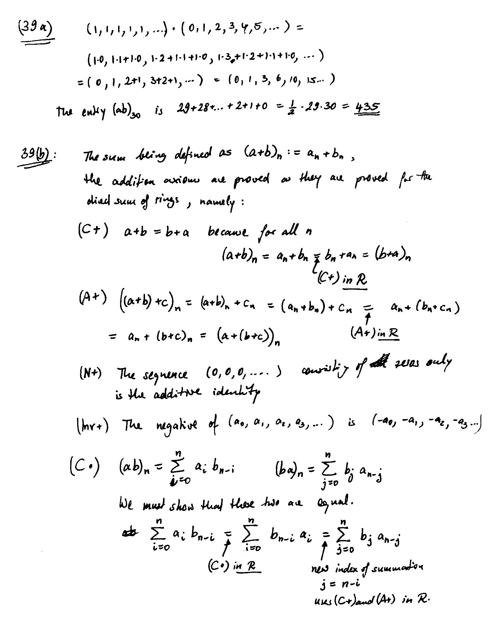
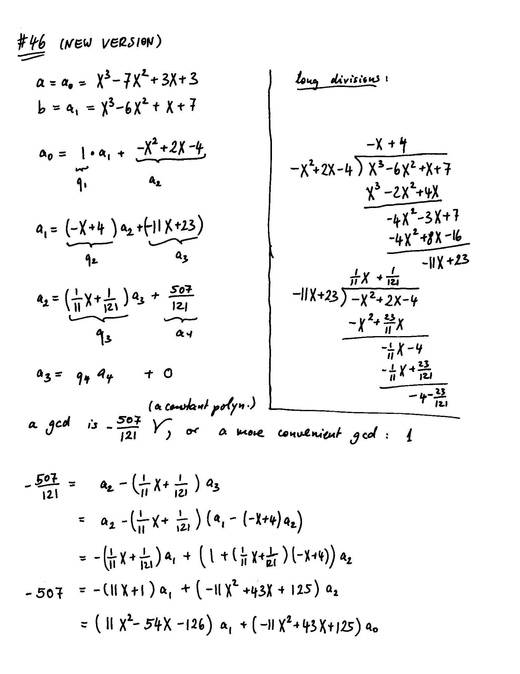
Solutions to Problems 39-47

Pdf files for download: (Problems 39-43): s31.pdf -- s32.pdf -- s33.pdf -- s34.pdf -- s35.pdf
(Problems 44-47): s36.pdf -- s37.pdf -- s38.pdf -- s39.pdf
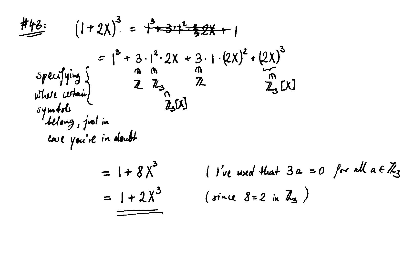
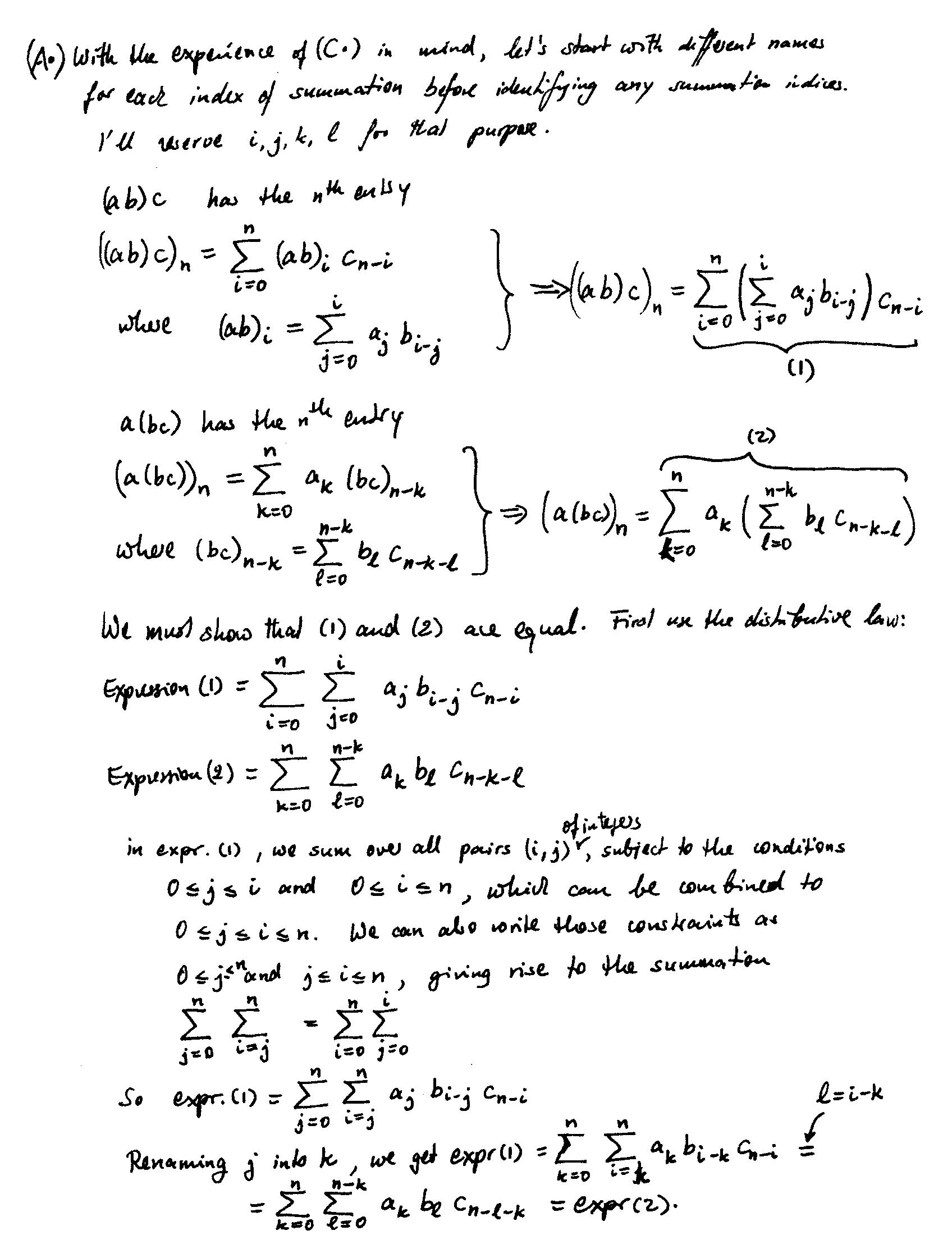
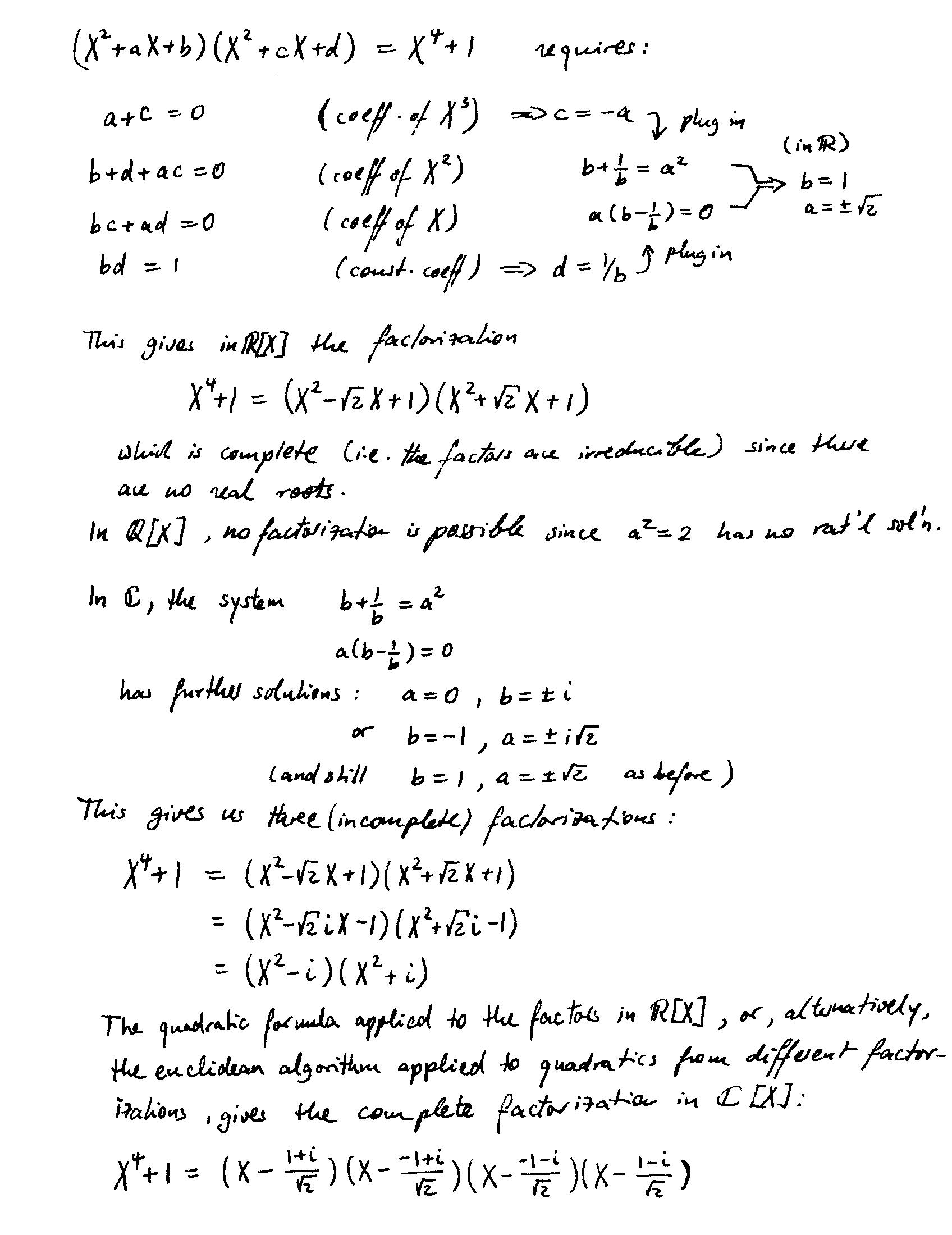
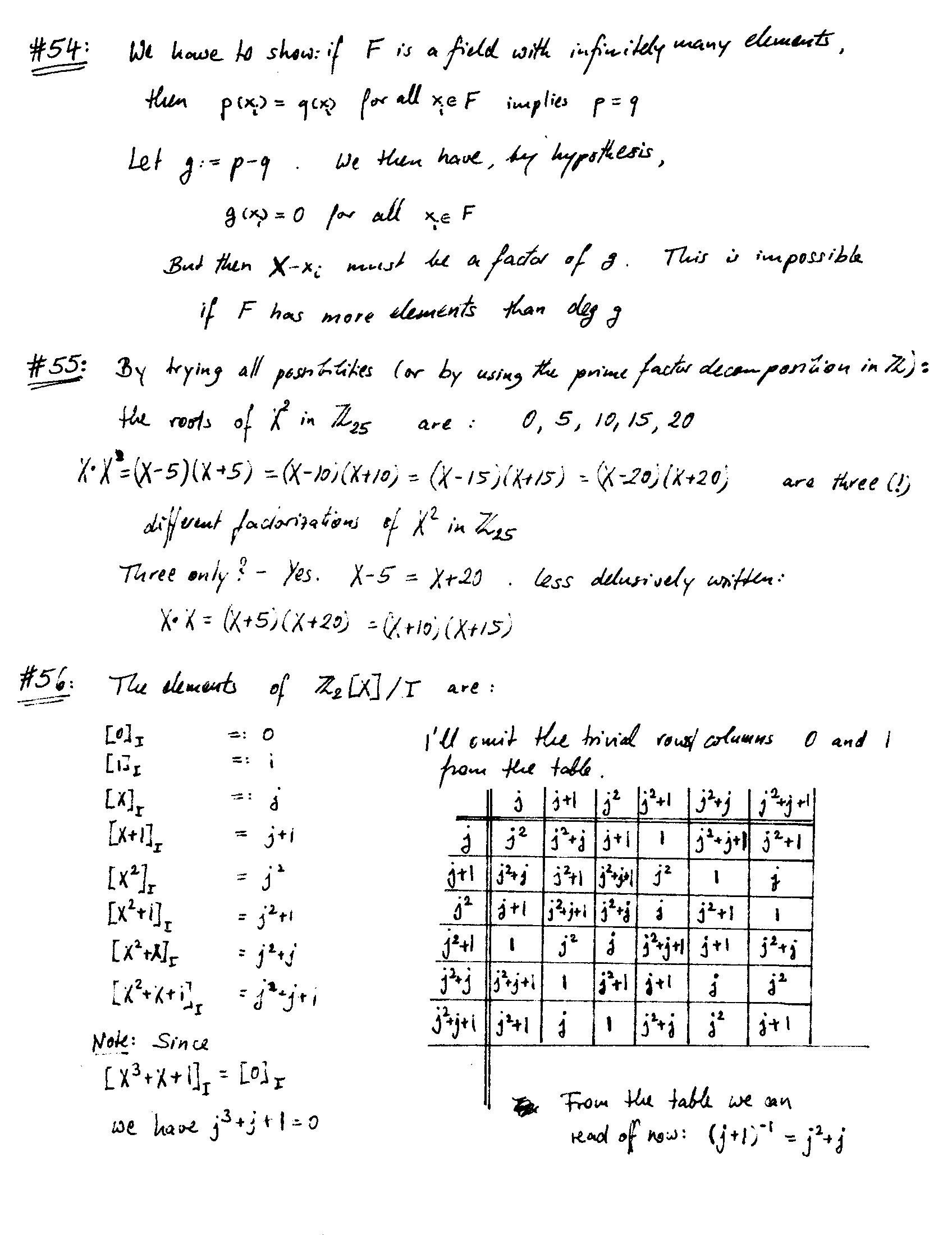
(Problems 48-56): s40.pdf -- s41.pdf -- factorx4+1.txt -- s42.pdf s43.pdf












You may wish to look at this file concerning one particular possible mistake in pblm 52: (view o print with a fixed-width font) factorx4+1txt