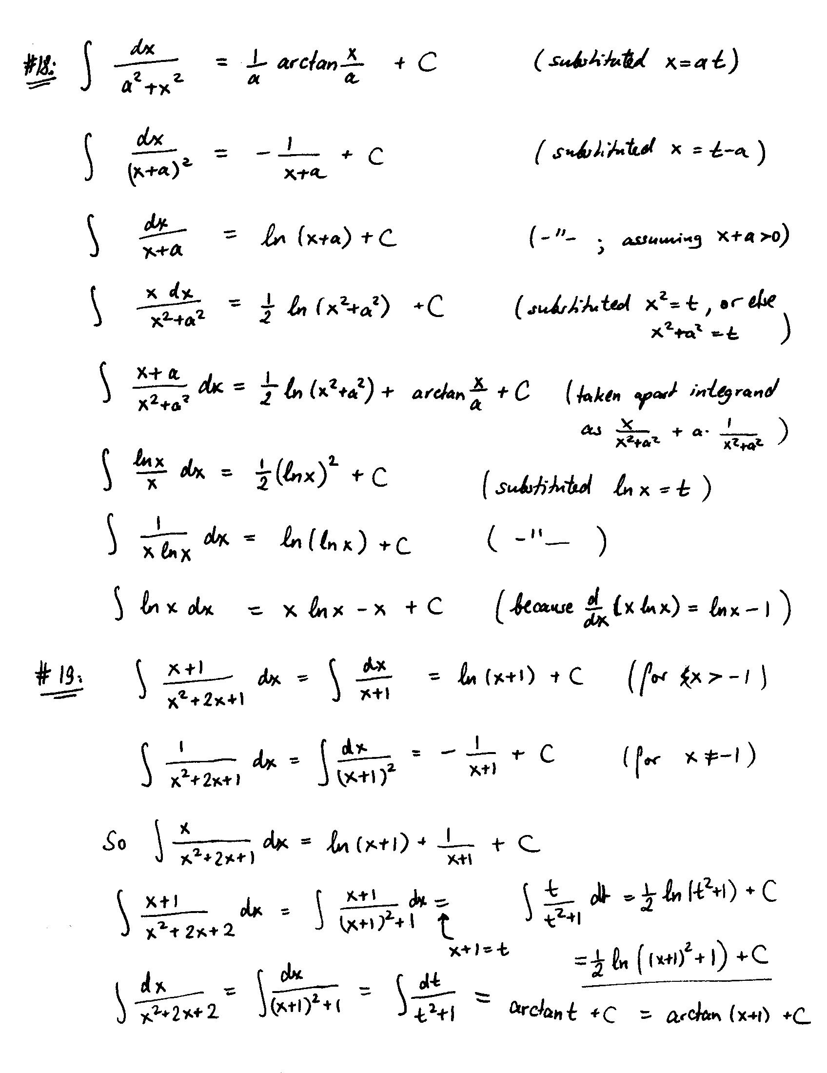
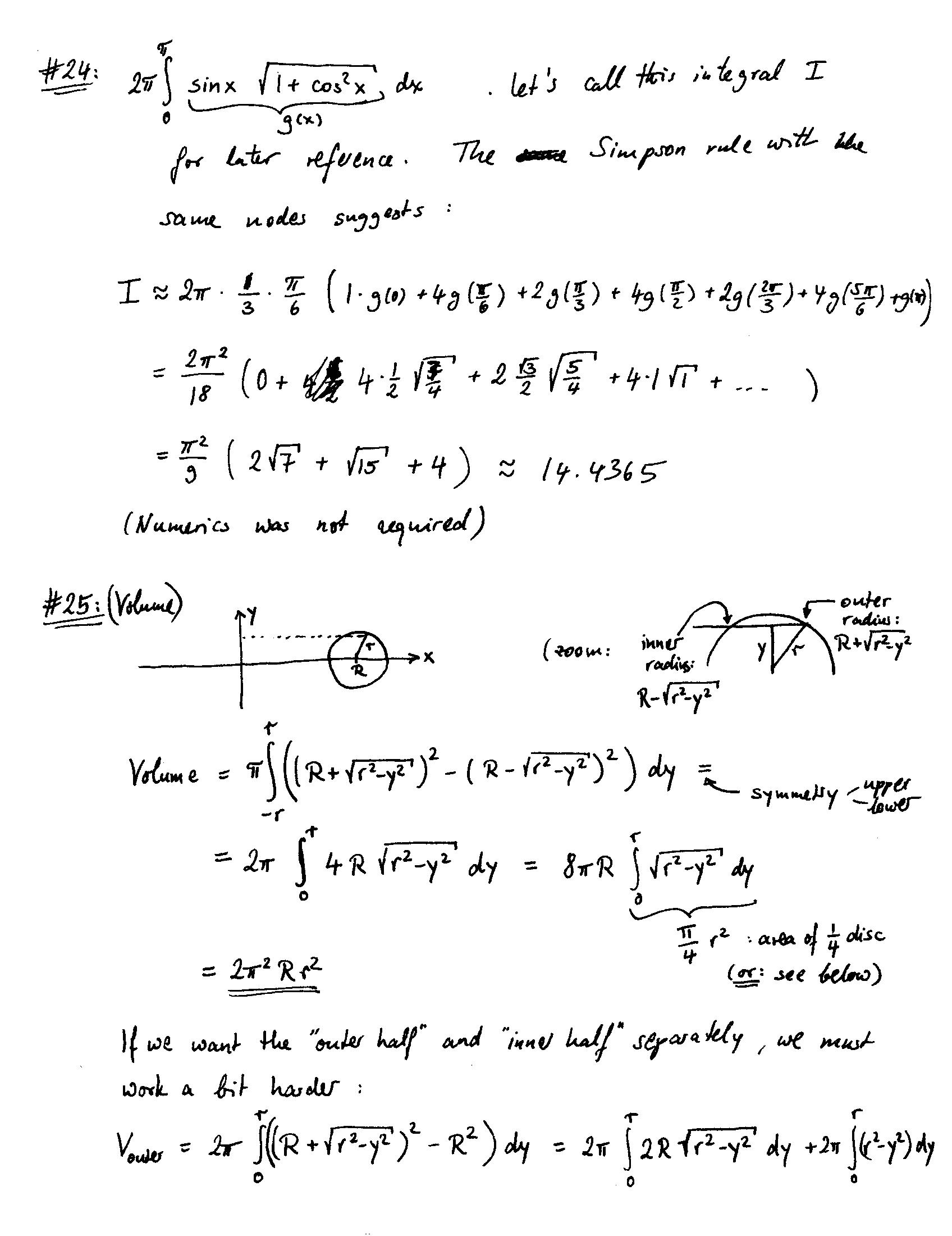
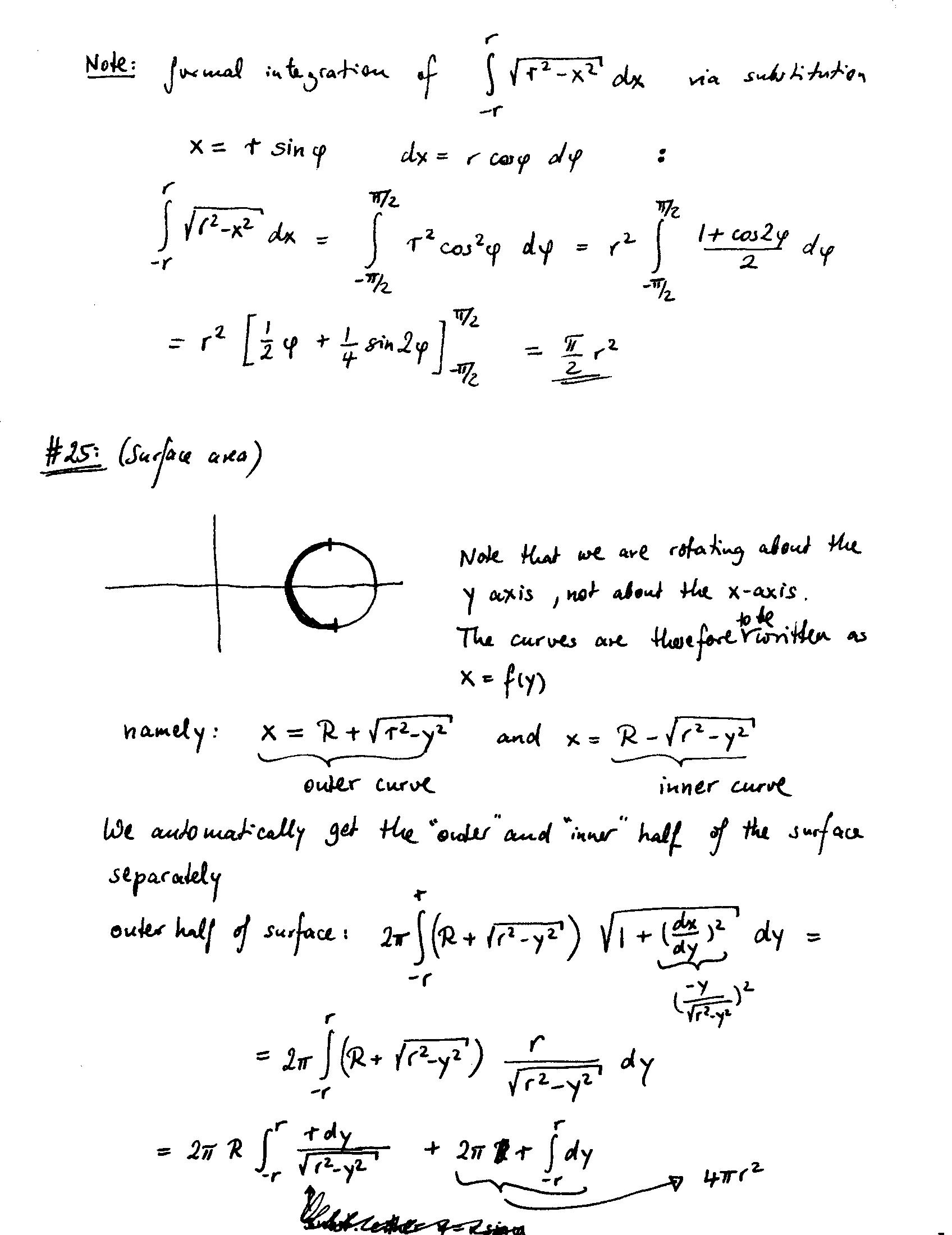
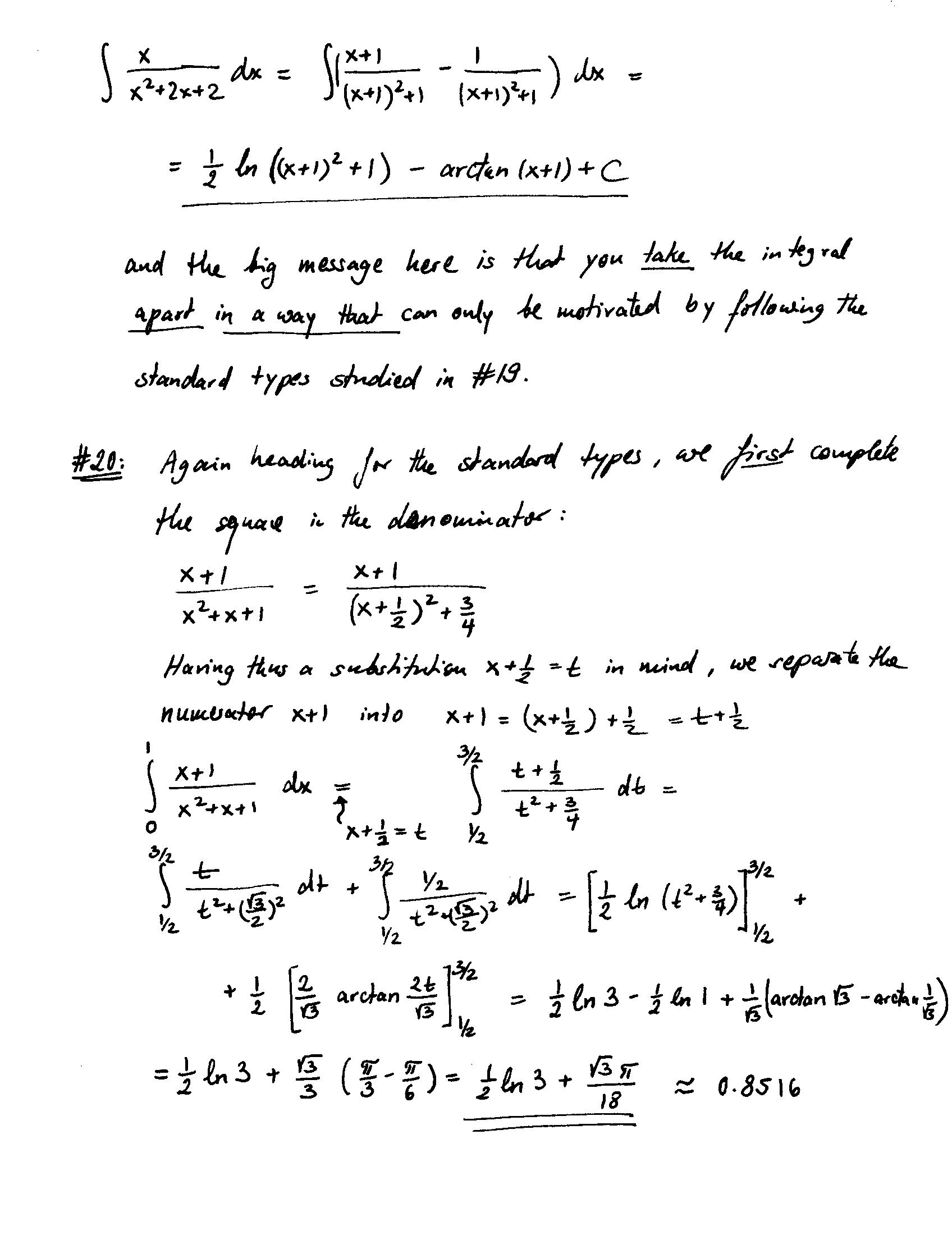
Solutions to Problems 18-35

Pdf files for download:
int01.pdf (#18,19) -- int02.pdf (#19,20) -- int03.pdf (#21-23) -- int04.pdf (#24,25) -- int05.pdf (#25) -- int06.pdf (#25) -- int07.pdf (#25,26) -- int08.pdf (#26) -- int09.pdf (#26) -- int10.pdf (#26,27) -- int11.pdf (#28,29) -- int12.pdf (#30,31) -- int13.pdf (#31,32) -- int14.pdf (#32,33) -- int15.pdf (#33,34) -- int16.pdf (#35) --