Solutions to Problems 3-20

Pdf files for download: (Problems 3-6): s01.pdf -- s02.pdf -- s03.pdf -- s04.pdf -- s05.pdf
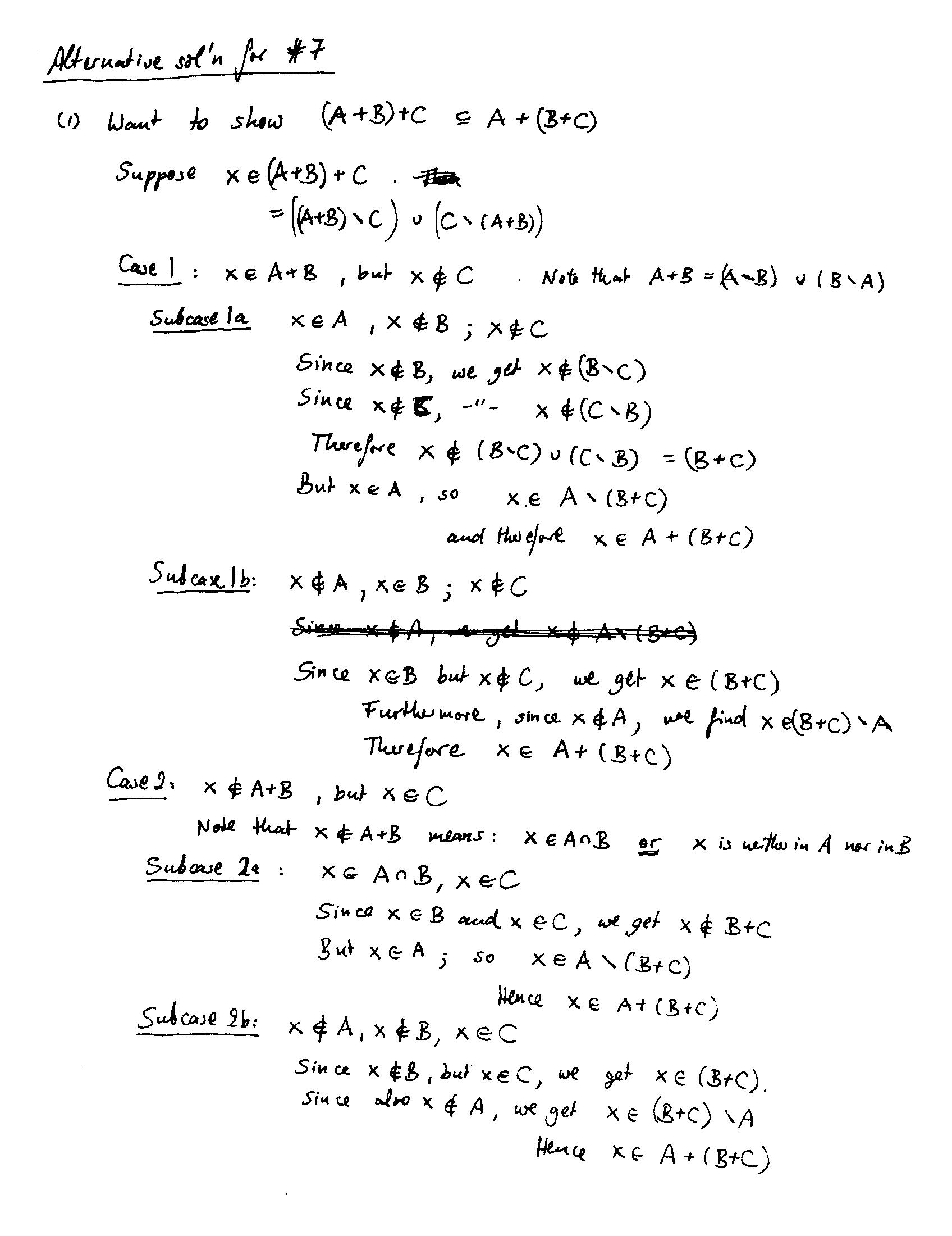
(Problem 7 starts at bottom of s05 and then): s06.pdf -- s12.pdf -- s13.pdf
(Problem 8:) s07.pdf -- s08.pdf
(Problems 9-12:) s09.pdf -- s10.pdf -- s11.pdf --
(Problem 13:) s14.pdf --
(Problems 14-20:) s15.pdf -- s16.pdf -- s17.pdf --