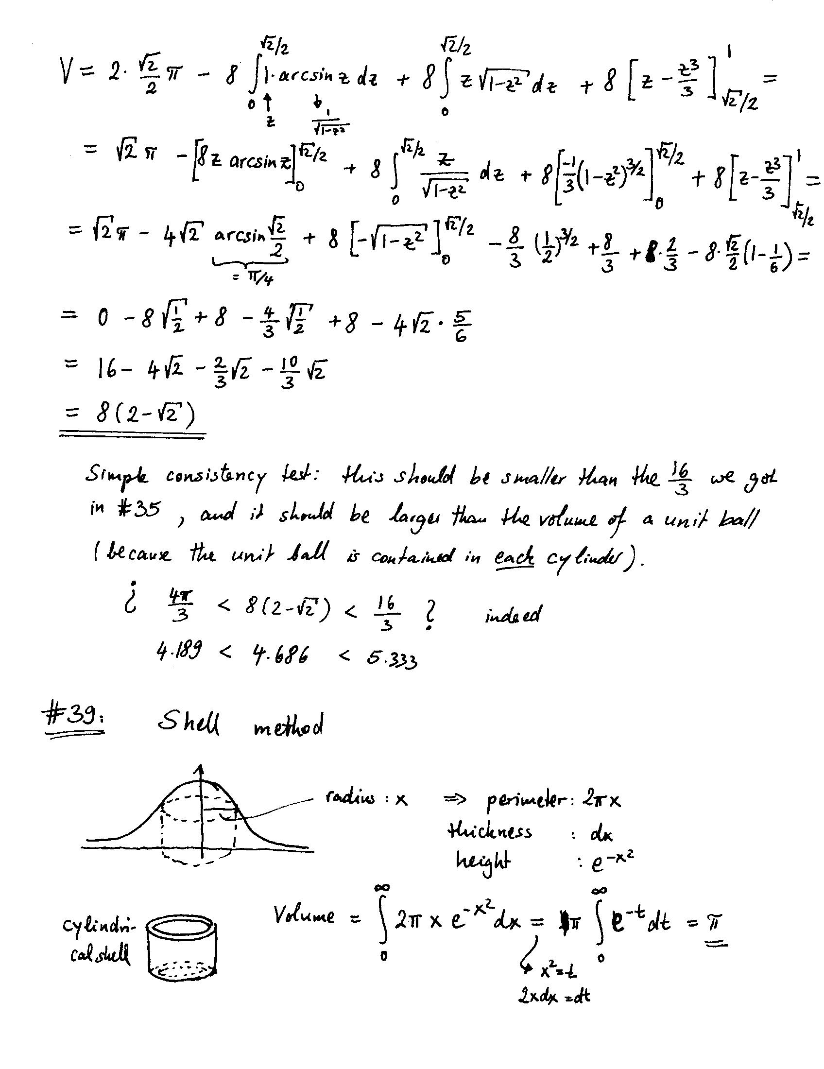
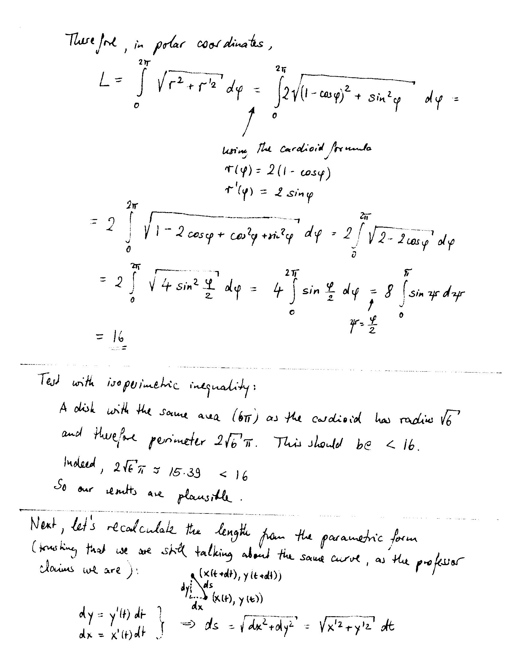
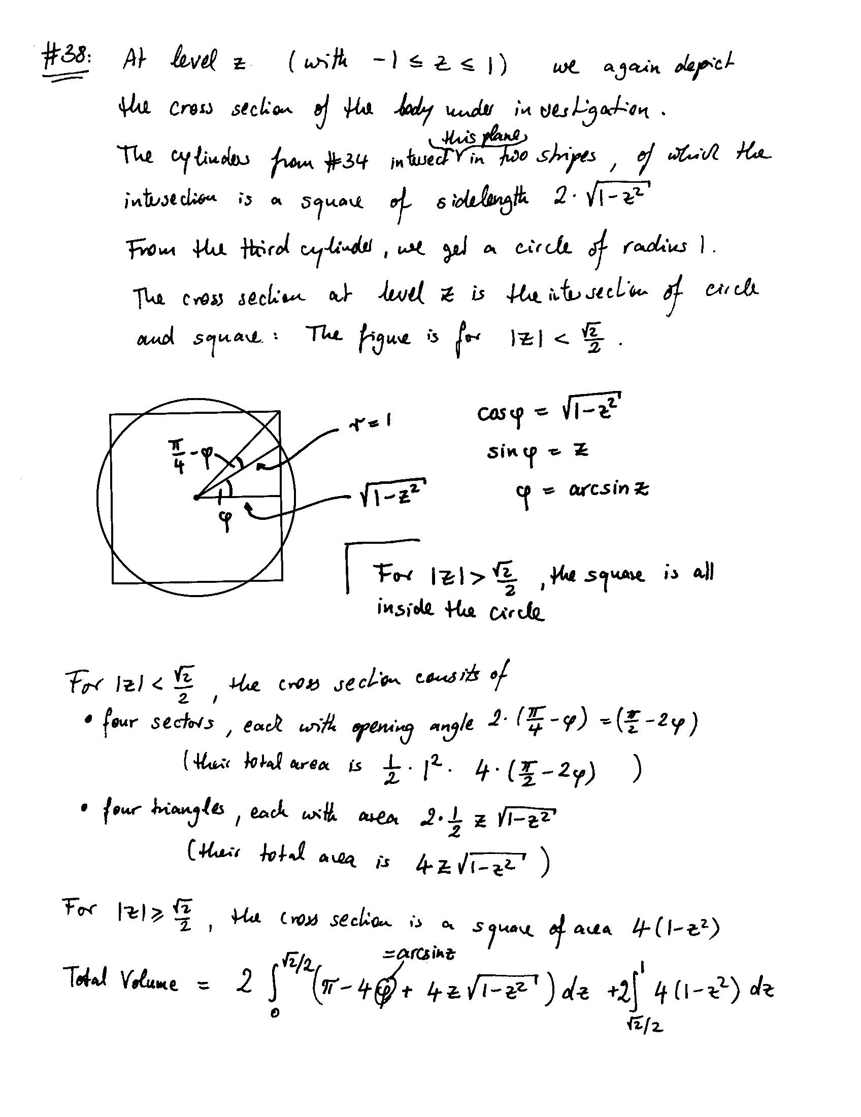
Solutions to Problems 36-46

Pdf files for download:
int17.pdf (#36) -- int18.pdf (#36) -- int19.pdf (#36,37) -- int20.pdf (#37) -- int21.pdf (#37) -- int25.pdf (#38) -- int26.pdf (#38,39) -- int27.pdf (#39) -- int22.pdf (#40) -- int23.pdf (#41) -- int24.pdf (#42) -- int28.pdf (#43) -- int29.pdf (#43) -- int30.pdf (#43) -- int31.pdf (#44) -- int32.pdf (#45.46) -- int33.pdf (#46) -- int34.pdf (#46) -- int35.pdf (#46) -- (problem 43 to become readable later)